|

Community Meeting on Solar Energy Farms: Wed, May 23 @ 6p

Community Meeting on Solar Energy Farms

New Date: May 23rd from 6 p.m. to 8:00 p.m. at the Southern Middle School Cafeteria
5235 Solomons Island Road, Lothian

We all know we need to go solar – the question is how to get there. This upcoming meeting – Wed, May 23, 6p at Southern Middle School (Lothian) cafeteria – will offer information and an opportunity to pose questions about how this may unfold in our local area. The county’s official announcement has been appended below.

Recently Birgit Sharp wrote a very accessible overview of the issue in the Bay WeeklyNow Coming to Your Area, Straight from the Sun. The following week a letter to the editor – Put Solar Panels over Parking Lots – was published on this topic. And here is our blog post about the proposed Nutwell-Sudley solar farm.

The upcoming meeting will address the plans for multiple potential sites for solar farms in our area. Again this is a layered issue, and while we all want to see solar make its mark, the question at hand is what types of sites should be used for solar development.

Mr Brad Harris has been very active in gathering information and you may contact him with questions: bharris@ambriggs.com / 202-277-5488.

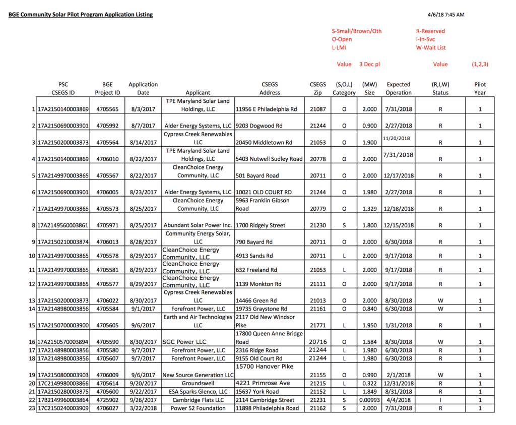
~ Click to enlarge ~

Solar Pilot Sites

Below are the BGE Community Solar Pilot Program Application in our area for the first of three year pilot program:

#1: 5403 Nutwell Sudley Road, 20778
#2: 501 Bayard Road, 20711
#3: 5963 Franklin Gibson Road, 20779
#4: 790 Bayard Rd, 20711
#5: 4913 Sands Rd, 20711

Click here for more information

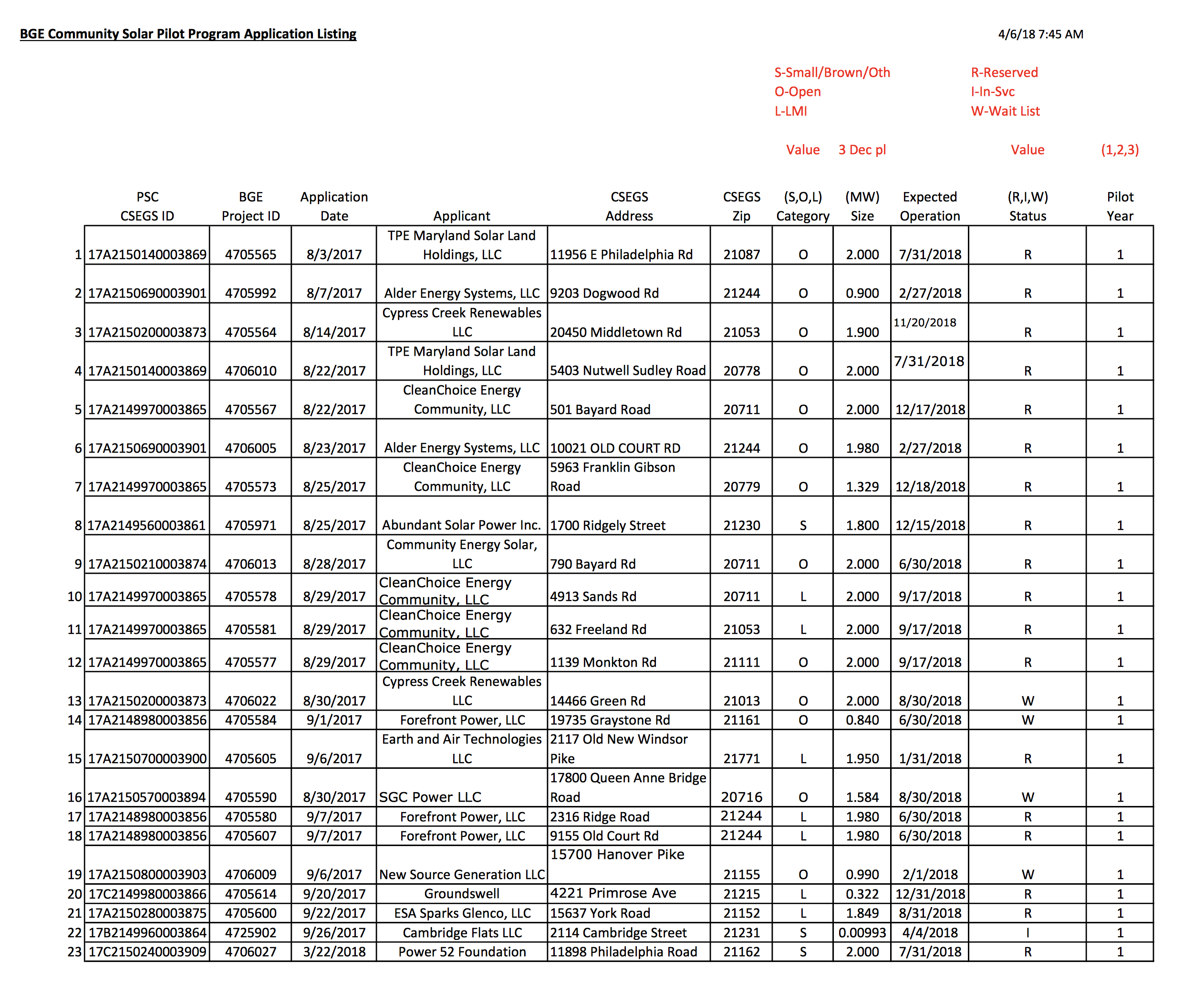
Here is the full listing of pilot sites: (click to enlarge)

Similar Posts

Leave a Reply

Your email address will not be published. Required fields are marked *

nineteen − 3 =